Translate

martes, 26 de noviembre de 2013

Por qué la evidencia del bosón de Higgs es indirecta?


No significa que no sea certera!
La función de los detectores de partículas es detectar los residuos de bosón!!!
O sea el bosón de Higgs tiene una vida media muy corta, se descompone en otras partículas y esas son detectadas por los sistemas del acelerador de partículas.
Vida media del bosón Higgs 1.56×10−22 s = 0.000000000000000000000156 segundos de vida… Y como sus partículas residuales tienen una vida media un poco más estable, es así como se lo detecta…
Haciendo una burda comparación con el ojo humano y los fotogramas. Para que el ojo no registre la intermitencia de un dibujo animado tiene que pasar más de 25 fotogramas por segundo! Si vemos estallar una bomba de estruendo en el aire nuestro ojo puede ver la explosión y luego los estallidos de luz remanentes! Pero imagínense que nuestro ojo solo captara  1 cuadro cada 10 o 20 segundos, nunca veríamos el fuego de una cañita voladora de colores o de la bomba de estruendo! Solo los residuos que arden como los papelitos o la pólvora de colores luego del estallido!!!
Supongamos que podemos capturar la pólvora quemada de la explosión y detectáramos al menos tres compuestos de esta pólvora, puede ser: azufre, carbón y nitrato de potasio. De la misma forma lo hacen con el bosón de Higgs.
Lo único que podemos observar son los productos de su desintegración. El estado actual es que el Higgs ha sido observado en varios canales bosónicos: H→ZZ (6,7 σ en CMS y 6,6 σ en ATLAS, o sea 9,4 σ en LHC), H→γγ (fotones) (3,2 σ en CMS y 7,4 σ en ATLAS, o sea 8,1 σ en LHC), y H→WW (4,0 σ en CMS y 3,8 σ en ATLAS, o sea 5,5 σ en LHC). En los canales leptónicos “aún no había sido observado”: H→τ τ (2,8 σ en CMS y 1,4 σ en ATLAS, o sea 3,1 σ en LHC), y H→bb (2,0 σ en CMS y 1,4 σ en ATLAS, o sea 2,4 σ en LHC). Por ello es una gran noticia que también haya sido observado en fermiones en el canal tau-tau: H→τ τ (2,8 σ en CMS y 4,1 σ en ATLAS, o sea 5,0 σ en LHC).
O sea, el Bosón se descompone en otros bosones Z y W (partícula mensajera de la fuerza débil) en pares y fotones en pares. Ahora se observaron en su descomposiciones Tau-Tau (leptones), pero se excluye las partículas b (beta). La letra griega “sigma” que aparece seguida del número no es otra cosa que un valor de probabilidad.
LHC: En castellano es el Gran Colisionador de Hadrones.
ATLAS: Aparato Toroidal del LHC. CMS: Solenoide de Muones Compacto.











martes, 5 de noviembre de 2013

El agua potable de Reconquista NO es apta para consumo humano.


Normas Oficiales para la Calidad del Agua en Argentina.
Algunos datos.
Al agua se le realizan tres análisis básicos: Físicos, Químicos y Bacteriológicos.
Los físicos tienen que ver más con el aspecto del agua. Los Químicos con elementos como Fenoles, Aluminio, y otros expresado mayoritariamente en mg/Litro. Los Bacteriológicos prácticamente se manejan por la cantidad de Cloro que se inyecte al caudal de salida (si aparece una bacteria nueva, le ponen más cloro) en la salida de la planta la cantidad de Cloro está por encima de la norma porque necesitan que al final de la red esa agua se mantenga a niveles aceptables.

Hay tres elementos a observar:
1º) La toma de agua cruda superficial.
2º) La salida de agua clorada.
3º) El sistema de cloaca doméstica e industrial.


Según ASSA (informe anual de la calidad de agua / año 2011 el último publicado).
Aguas Santafesinas SA (ASSA) ha cumplido con los parámetros establecidos por el marco regulatorio constituido por la Ley 11.220 y las pautas complementarias establecidas en el Decreto 1358/07 Anexo 2 C prorrogado por Decreto n° 2624/09 y Acta anexa, que rige la relación del servicio durante el proceso de transición establecido por ley 12.516.

Agua Cruda Superficial (Agua que ingresa a Planta)
Para los parámetros bacterias aeróbicas, turbiedad, conductividad, alcalinidad total, DQO y nitritos, no se informa el % de conformes por no establecerse límites para ellos en el anexo I.2.3 (Normas de Calidad de fuentes superficiales destinadas a potabilización por procesos convencionales).

Por un lado no podríamos explicar que es % de conformes!!! Parece un método innovador de expresar cantidades analíticas sobre valores topes obligatorios. Es como decir el agua potable de Reconquista está en un 90% de conformidad con la norma. Pero no sabemos qué sustancias venenosas están fuera de norma y nos pueden llegar a matar!!!
La norma es clara, tiene límites máximos obligatorios. Si la calidad de agua no satisface ese estándar, se considera fuera de norma!!!

Como dice el informe público de ASSA el anexo 1.2.3 no presenta topes para algunos elementos (PARA SORPRESA), pero si se los tiene en cuenta en la Ley 11.220!!! El porqué de esto es simple. Justamente el Agua Cruda  Superficial o la fuente superficial de agua de la toma de Reconquista coinciden con el curso de agua del Arroyo El Rey que vendría a ser, el curso de agua de efluentes industriales de las ciudades de Reconquista y Avellaneda. 

Si bien no figuran en el Anexo 1.2.3 como si no importaran, sí figuran en el anexo A y B de la ley 11.220.-

En el anexo B es claro, si una planta industrial no tiene tratamiento de efluentes se toman los valores obligatorios de la norma.

Bacterias aeróbicas, Turbiedad, Conductividad, Alcalinidad Total, DQO, Nitritos: Por qué son importantes conocer estas sustancias en el sistema de toma de agua?
Un ejemplo, qué son los nitritos?
La presencia de nitritos en el agua es indicativo de contaminación de carácter fecal reciente (catalán L. et al., 1971; Catalán A., 1981; Metcalf y Eddy, 1988). En aguas superficiales, bien oxigenadas, el nivel del nitrito no suele superar 0,1 mg/L (Stumm y Morgan, 1981; Marín, 1995). Asimismo cabe resaltar que el nitrito se halla en un estado de oxidación intermedio entre el amoníaco y el nitrato. Los nitritos en concentraciones elevadas reaccionan dentro del organismo con aminas y amidas secundarias y terciarias formando nitrosaminas de alto poder cancerígeno y tóxico (OMS, 1980, 1985, Guang-wei, 1981; Russo, 1995; Gray, 1996; Marín 1996). Según Erikon 1985, entre valores de 0,1 y 0,9 mg/L pueden presentar problemas de toxicidad dependiendo del pH, asimismo valores por encima de 1 mg/L son totalmente tóxicos y representan un impedimento para el desarrollo de la vida piscícola y el establecimiento de un ecosistema fluvial en buenas condiciones (Prat et al., 1996). En general, la concentración de nitritos en el agua superficial es muy baja, pero puede aparecer ocasionalmente en concentraciones inesperadamente altas debido a la contaminación industrial y de aguas residuales domésticas (Albert, 1990; Gray, 1996; Pardo y Marañon, 1997; Prat et al., 1999).

Ahora aquí hay un punto importante. El mismo Arroyo donde se vierte la cloaca de Reconquista (sin tratamiento), la cloaca de Avellaneda (sin tratamiento), Industrias como las del Complejo Vicentín (Avda – sin tratamiento), y parque industrial de Avellaneda (sin tratamiento), Parque industrial de Reconquista, Frigorifico FRIAR de Rqta. Agroquímicos y otros productos que se nos puedan pasar por alto en este análisis… etc… etc… Resultan ser las Aguas Crudas Superficiales de la Planta de Tratamiento de ASSA Reconquista…
Con lo cual se falta al Capítulo II art 52 y art 80 a), de la Ley 11.220.-

Anexo A (Ley 11.220): Límite para la provisión de agua potable. Donde sí figuran Nitritos, para tener en cuenta. Y ese límite es de  0,1 mg/L.

Por esto tenemos en cuenta este anexo de la Ley 11.220.-
ANEXO B: LIMITES PARA LA DESCARGA DE EFLUENTES CLOACALES
Notas:
a) Límites recomendados: Los operadores deben programar alcanzar estos límites en condiciones normales de operación en una fecha que se establezca en las normas aplicables.
b) La definición de frecuencias y métodos de muestreo para verificar el cumplimiento de los límites deberá figurar en las normas aplicables.
d) Una flexibilización de cualquiera de los límites puede ser considerada en un estudio caso por caso. La flexibilización podrá ser aceptada si se demuestra, a satisfacción de las autoridades de regulación, que no se causará un impacto ambiental importante.
e) Se podrán considerar límites más estrictos, caso por caso, si se juzga que la aplicación límites de listados pueda causar un importante impacto ambiental sobre el cuerpo receptor inutilizándolo para los usos designados.
F) LOS LÍMITES OBLIGATORIOS EXPRESAN LA CONCENTRACIÓN MÁXIMA ADMISIBLE.
g) Los límites recomendados deben ser interpretados como objetivos de operaciones normales.
H) LOS LÍMITES OBLIGATORIOS SIN TRATAMIENTO SE APLICARÁN A LOS DESAGÜES INDUSTRIALES QUE DESCARGUEN A LOS SISTEMAS DE DESAGÜES CLOACALES.
I) LA DEFINICIÓN DE FRECUENCIAS Y MÉTODOS DE MUESTREO PARA VERIFICAR EL CUMPLIMIENTO DE LOS LÍMITES DEBERÁ FIGURAR EN LAS NORMAS APLICABLES.-

Respecto al parámetro fenoles no se informa un porcentaje de conformes debido a que el límite de detección de la técnica de cuantificación empleada en la actualidad, supera el límite de calidad establecido según Ley 11.220. No obstante ello, todos los análisis realizados no determinan en ningún caso concentraciones superiores a las mínimas detectables. Para el caso de Fenoles (método 5530 del Standard Methods - 19.Ed) razones operativas no han permitido aún lograr al límite de detección que teóricamente es alcanzable con la técnica señalada.

Qué son los fenoles y por qué es importante saber si hay presencia de estos? Por un lado, hay métodos para poder detectar valores en determinados rangos, si un método no es idóneo para cierto compuesto se busca otro, por eso hay un proceso de “validación” de metodología. En este caso puede que el método (5530 del Standard Methods - 19.Ed) no sea acreditado para detectar niveles de 0,001 mg/Litro (Fenoles) en “agua cruda superficial”. Pero este método probablemente tampoco acredite para 0,002 o 0,003 mg/Litro y en ese caso estaría SOBRE EL LÍMITE OBLIGATORIO de contenido sobre aguas crudas superficiales.
El fenol es un veneno protoplasmático que daña a todos los tipos de células. Los efectos toxicológicos agudos del fenol son, en gran medida, sobre el sistema nervioso central y puede ocurrir la muerte tan pronto como media hora después de la exposición. El envenenamiento agudo por fenol puede causar severas perturbaciones intestinales, mal funcionamiento del riñón, fallos en el sistema circulatorio, edema pulmonar y convulsiones. Los órganos importantes dañados por la exposición crónica al fenol incluyen el bazo, páncreas y riñones. [ORSETTI, Silvia. Estudio de la heterogeneidad de ácidos húmicos en el enlace de cationes. Trabajo de grado Doctor en Química Inorgánica, Analítica y Química Física. Buenos Aires: Universidad de Buenos Aires, Facultad de Ciencias Exactas y Naturales. Departamento de Química Inorgánica, Analítica y Química Física, 2010. p. VII]
Los cinco métodos espectrofotométricos para la determinación de bajas concentraciones de fenoles en aguas residuales y potables son: Gibbs. Nitrosofenol, 4-aminoantipirina (4-AAP), ultravioleta e infrarrojo. El método de la 4-AAP es el más rápido, preciso y exacto. [SILVA, María Eugenia. Preconcentración selectiva de fenoles contaminantes prioritarios y determinación por espectrofotometría ultravioleta-visible. Cromatografía liquida de alta eficiencia y cromatografía de gases/espectrometría de masas. Doctor en química. Madrid: Universidad Complutense de Madrid. Facultad de Ciencias Químicas. Departamento de Química Analítica, 2000. 16 p.]

Reconquista (Planta Puerto Reconquista). Esto es lo que están tomando todos en Rqta.
A lo largo del período la calidad del agua a la salida de la planta potabilizadora compacta cumple con los requerimientos establecidos en el Contrato de Vinculación. (Agua Potable que sale de Planta)
Excepto para los parámetros pH, que registra una conformidad del 94%, Color: con un cumplimiento del 94%, Oxidabilidad (Permanganato de potasio) que registra un cumplimiento del 77% y Aluminio que presenta una conformidad del 93%.

O sea, vamos a hacer un cálculo matemático de “regla de tres simple” para saber qué valores no cumplen con la norma que está claramente indicada en la  Ley 11.220 y saber qué valores miden en realidad. 
_pH: 0,39 por arriba o por debajo de la tolerancia, según la norma, valores coincide con la OMS.-
_Color: Si bien la norma indica un tope máximo de 100 unidades de color, la Organización Mundial de la Salud (OMS) recomienda no superar las 15 unidades de color!!! Te argumentamos este punto:
El color del agua se debe a la presencia de minerales como hierro y manganeso, “materia orgánica” y residuos “coloridos” de las “industrias”. El color en el agua doméstica puede manchar los accesorios sanitarios y opacar la ropa. (Informe: Ing. Orellana - UTN).
O sea si hay una conformidad del 94 % significa que están excedidos en 6 unidades de color sobre 100 udc que dicta la norma,  a pesar de ser superior en 6,6 “veces” lo que recomienda la OMS y EE.UU como LÍMITE OBLIGATORIO.-
_Permanganato de Potasio: 18,45 mg/Litro de O2 “supera” en 3,45 mg la norma dictada, a diferencia de la OMS y EE.UU. que “supera” en 13,45 mg/Litro de O2 LÍMITE OBLIGATORIO.-
_Aluminio: la norma dicta 0,2 mg/Litro como LÍMITE OBLIGATORIO coincide con la OMS. Pero su exceso es de 0.014 mg/Litro.-

Por qué hay un exceso de Aluminio, probablemente por el mismo motivo por el cual hay un problema con el Color en el agua. Se usan sales de aluminio para partículas muy finas de naturaleza coloidal denominadas coloides que presentan una gran estabilidad en agua. Tienen un tamaño comprendido entre 0,001 y 1 μm y constituyen una parte importante de la contaminación, causa principal de la turbiedad del agua. Debido a la gran estabilidad que presentan, resulta imposible separarlas por decantación o flotación. Tampoco es posible separarlas por filtración porque pasarían a través de cualquier filtro.
La causa de esta estabilidad es que estas partículas presentan cargas superficiales electrostáticas del mismo signo, que hace que existan fuerzas de repulsión entre ellas y les impida aglomerarse para sedimentar.
Estas cargas son, en general, negativas, aunque los hidróxidos de hierro y aluminio las suelen tener cargas positivas.
El tratamiento físico químico del agua residual tiene como finalidad mediante la adición de ciertos productos químicos la alteración del estado físico de estas sustancias que permanecerían por tiempo indefinido de forma estable para convertirlas en partículas susceptibles de separación por sedimentación.
Mediante este tratamiento puede llegar a eliminarse del 80 al 90% de la materia total suspendida, del 40 al 70% de la DBO5 y del 30 al 40% de la DQO.

En México los compuestos de aluminio (sulfato y cloruro de aluminio) son ampliamente usados en el tratamiento de agua como floculantes. Esta tecnología data de los años 1960´s y en los países desarrollados ha sido reemplazada por el uso de floculantes de segunda generación (policlrosulfatos de aluminio básicos) e incluso por floculantes de tercera generación (policlorosulfatos de aluminio de alta basicidad), los cuales ofrecen excelentes propiedades floculantes y mucho menos riesgo de solubilización del aluminio en el agua tratada. Desafortunadamente en México se siguen usando en las plantas de tratamiento las sales de aluminio “más baratas”, que conllevan los más altos riesgos de solubilización.
La contaminación máxima de aluminio permitida en agua potable varía según el país, entre 0.03 a “0.2 mg/litro” de agua, siendo el límite superior el adoptado por México y en este caso “Reconquista, Santa Fe, Argentina”.
Recientemente el concepto del aluminio como un material inocuo al hombre está cambiando debido a algunos hallazgos epidemiológicos. Las enfermedades asociadas son varias, desde quistes pulmonares hasta Alzheimer (Rodolfo Trejo Vázquez, Virginia Hernández Montoya
Riesgos a la salud por presencia del aluminio en el agua potable Conciencia Tecnológica, núm. 25, 2004 Instituto Tecnológico de Aguascalientes México).
También hay casos en algunas personas que sufren de enfermedad renal acumulan una gran cantidad de aluminio en su cuerpo. La enfermedad del riñón impide la eliminación de aluminio en la orina. Algunas personas desarrollaron enfermedades de los huesos o del cerebro que los doctores atribuyeron al exceso de aluminio (ATSDR Agency for Toxic Substances and Disease Registry Division of Toxicology and Environmental Medicine).

Tomemos en cuenta los valores de agroquímicos en el agua para consumo humano. En particular uno, el Glifosato:
En el caso del “glifosato” (componente activo: ácido aminometilfosfónico - AMPA) para la UE es de 0,001 mg/Litro como tolerancia máxima en el agua potable. En Argentina lamentablemente no sabemos lo que estamos tomando!!! Para el agua mineral embotellada está prohibida la presencia de agroquímicos, pero en algunos casos esta se nutre de la red pública como es el caso de Reconquista. Según norma de ASSA, Glifosato 0,9 mg/Litro Límite máximo obligatorio en agua cruda superficial.
EPA de Estados Unidos, 700 ug (unidades de glifosato) por litro; Alemania, 700 ug por litro; EQGs (Canadá), 280 ug por litro. (Fuente: Ciencia. Determinación de glifosato en muestras de agua en la cuenca del río Catatumbo).
Casos graves en el mundo: Glifosato detectado en orina de personas en Alemania!!! http://www.reduas.fcm.unc.edu.ar/glifosato-detectado-en-orina-de-personas-en-alemania/

Otro caso es el arsénico.
Arsénico: suele encontrarse en pequeñas cantidades salvo alguna excepción y se aumenta cuando existen vertidos de residuos industriales o por arrastre con aguas de lluvia del arseniato de plomo que se usa en desinfección de árboles frutales.
Límite máximo obligatorio de la toma de Agua Cruda Superficial 0,1 mg/Litro de Arsénico.
Problema del arsénico, distintos tratamientos para su eliminación, áreas afectadas.
Fue publicado en un ensayo del 2010: http://infodata.fullblog.com.ar/info-and-data-world.html

Fluor en el agua: Un informe reciente del National Research Council de Estados Unidos (NRC 2006) concluyó que los efectos negativos de las altas concentraciones de fluoruros en el agua potable podrían ser algo preocupante, por lo que se justifica la realización de investigaciones adicionales al respecto. Los fluoruros pueden causar neurotoxicidad en animales de laboratorio, incluso efectos en el aprendizaje y la memoria…
http://www.mundonuevo.cl/blog/articulos/estudio-de-harvard-fluor-en-agua-potable-reduce-ci-en-ninos/

Ahora algo sobre la legislación
Para sorpresa ASSA no publica desde el 2011 informes sobre la condición del agua potable de Reconquista, pero sabemos que la situación de las industrias no han cambiado, la toma de agua de Reconquista no ha cambiado de lugar, y ni Reconquista ni Avellaneda tiene tratamiento de efluentes cloacales ni industriales…
Responsabilidad de las autoridades locales, provinciales y nacionales.

Santa Fe - Legislatura Provincial - Ley 12067 - Modificación de la Ley 11.220 de Agua Potable y Saneamiento. Publicada: 03/01/2003 La Legislatura de la provincia de Santa Fe sanciona con fuerza de ley:
Art. 1.– Modifícase el art. 25 de la ley 11220, Agua Potable y Saneamiento Transformación del Sector Público, el que quedará redactado de la siguiente manera:
Art. 25.- Participación de las municipalidades y comunas. En todas las cuestiones que, a juicio del directorio del Ente Regulador de Servicios Sanitarios, revistan significativa trascendencia para los intereses locales de las municipalidades y comunas de la provincia de Santa Fe, los representantes de las municipalidades y comunas involucradas tendrán derecho a participar en las sesiones del directorio, exclusivamente con relación a las deliberaciones que consideren aquellas cuestiones.
A tal efecto, las municipalidades y comunas respectivas deberán ser notificadas por el directorio del Ente Regulador de Servicios Sanitarios de la fecha y lugar de celebración de dichas sesiones.
Se entienden comprendidas entre las cuestiones que revistan significativa trascendencia para los intereses locales, entre otras, las relacionadas con el procedimiento de aprobación de los proyectos de planes de mejoras y desarrollo, de los cuadros tarifarios, de los niveles de calidad química y microbiológica y los demás parámetros del servicio de suministro de agua y de la disposición de efluentes cloacales.
Art. 2.– Comuníquese al Poder Ejecutivo.
Hammerly - Muniagurria - Lago – Paulichenco

Todo el marco de la Ley 11.220 Responsabilidad del Gobernador de la Provincia de Santa Fe.-
Enress (Ente Regulador de Servicios Sanitarios) Un organismo que evidentemente no se preocupa por los eventos importantes…

Poder Ejecutivo Nacional - Ley N° 24.051.
CONSIDERANDO
Que es propósito del Gobierno Nacional reglamentar lo relativo a residuos peligrosos generados en el país.
Que ello resulta necesario para evitar que dichos residuos sigan afectando a las personas y/o al ambiente en general, toda vez que el grado de contaminación ambiental está creciendo a niveles alarmantes.
Que, en tal sentido, la ley N° 24.051 y su reglamentación alcanzaría a aquellas personas físicas o jurídicas que generen, transporten, traten y/o dispongan residuos peligrosos en las condiciones de lugar que fija el artículo 1° de la Ley mencionada.
Que resulta indispensable que las personas físicas o jurídicas comprendidas, en tales disposiciones, cumplan los .deberes y obligaciones que imparte la Ley N° 24.051, para lo cual se impone dictar la reglamentación pertinente.
Que la Secretaría de Recursos Naturales y Ambiente Humano de la Presidencia de la Nación, es la encargada de velar por la protección, recuperación y control del medio ambiente y la conservación de los recursos naturales renovables, lo cual justifica designarla como Autoridad de Aplicación de la ley de referencia y su reglamentación.
Que el presente se dicta en virtud de las facultades, emergentes del Artículo 86°, inciso 2, de la Constitución Nacional.




lunes, 4 de noviembre de 2013

Pestilencia en Avellaneda y Reconquista. (Santa Fe)

En este caso tratamos la producción de Biocombustible por parte del Complejo Industrial de Vicentín en Avellaneda. La fabricación actual de biodiesel y el proyecto de construcción de una planta de bioetanol, esperemos que no lo radiquen en pleno casco urbano!
Por estos días hay muchas críticas por olores generados en la ciudad de Avellaneda, dos motivos, el primero es tener Cloacas a cielo abierto, que lo vamos a tratar en otro ensayo.
Segundo motivo es el “Complejo” Vicentín tiene su  piletas de “decantación” de efluentes entre la ciudad de Avellaneda y Reconquista. Estas piletas son linderas al Arroyo El Rey y carecen totalmente de tratamientos de efluentes.

Qué son los biocombustibles, en este caso el Bioetanol y el Biodiesel?
El bioetanol, también llamado etanol de biomasa, por fermentación alcohólica de azúcares de diversas plantas como la caña de azúcar, remolacha o cereales. En 2006, Estados Unidos fue el principal productor de bioetanol (36% de la producción mundial), Brasil representa el 33,3%, China el 7,5%, la India el 3,7%, Francia el 1,9% y Alemania el 1,5%. La producción total de 2006 alcanzó 55 mil millones de litros.
El biodiésel, se fabrica a partir de aceites vegetales, que pueden ser ya usados o sin usar. En este último caso se suele usar maíz, soja, los cuales son cultivados para este propósito. El principal productor de biodiésel en el mundo es Alemania, que concentra el 63% de la producción. Le sigue Francia con el 17%, Estados Unidos con el 10%, Italia con el 7% y Austria con el 3%.

El Biodiesel y el Bioetanol generan desperdicios:
Biodiesel
En este sentido, el biodiesel es un producto obtenido por un proceso de transesterificación (formación de ésteres metílicos) de los ácidos grasos existentes en los aceites vegetales (soja, girasol). Sus características son similares a la del gasoil aunque cabe destacar que el biodiesel posee un punto de inflamación considerablemente superior al del gasoil, lo que lo hace mucho menos peligroso. El porcentaje de azufre es también un factor a resaltar, al disminuir la emisión de este componente a la atmósfera con su correspondiente mejora medioambiental.
Si bien se usan ácidos como catalizador y se necesita ciertos cuidados para su uso nos concentramos en un subproducto del proceso, en este caso la glicerina.
La glicerina es un producto de la reacción de transesterificación y por lo tanto no puede evitarse su formación en el proceso de producción de biodiesel. La cantidad de glicerina que se genera es muy importante, representando aproximadamente el 10% del biodiesel producido. En función de los tratamientos a los que es sometida la corriente pesada que se origina en la reacción de transesterificación se obtendrá glicerina cruda, con un porcentaje de glicerol en torno al 80%, o bien glicerina de grado farmacéutico, con un porcentaje de glicerol del 99,7%. Las sustancias que acompañan a la glicerina son, principalmente, agua, sales y MONG (materia orgánica no glicerina, formada por jabones, ácidos grasos libres y otras impurezas).
En el caso de que este sub-producto no se comercialice por cualquier motivo que lleve a quemarlo. La glicerina arde bien, pero tiene que ser quemada a elevadas temperaturas para que no se produzcan humos tóxicos de acroleína, que se forma principalmente entre los 200ºC y los 300ºC.
En el caso particular de la “acroleína” puede ser irritante para los ojos, piel y membranas mucosas.
Es un fuerte irritante pulmonar y agente lacrimógeno.
Aparato respiratorio, después de una exposición aguda puede causar disnea, broncospasmos, heridas profundas en el pulmón y daño pulmonar permanente.
Sistema cardiovascular, después de la exposición por inhalación puede provocar hipertensión y taquicardia.
Sistema gastrointestinal, puede producir irritación en la boca y del tracto gastrointestinal. Se ha informado de nauseas, vómitos y diarrea.
Sistema ocular, salpicaduras en los ojos pueden causar heridas corneales.
Exposiciones al vapor a concentraciones de 0,57 mg/m3  (0,25 ppm) o mayores puede provocar irritación en los ojos.
Detección del olor 2,3 mg/m3 (1 ppm) Provoca una fuerte irritación en ojos, tracto respiratorio y membranas mucosas.
De 23-344 mg/m3 (10-150 ppm) Potencialmente perjudicial para el ser humano. http://toxnet.nlm.nih.gov/cgi-bin/sis/htmlgen?HSDB.htm
Además, la combustión del biodiesel puede acarrear un aumento de óxidos de nitrógeno (NOx). Presenta escasa estabilidad oxidativa, y su almacenamiento no es aconsejable por períodos superiores a 6 meses. La investigación científica confirma que la emisión del biodiesel es menos dañina en la salud humana que la del diesel del petróleo. Las emisiones de Biodiesel han disminuido los niveles de los hidrocarburos aromáticos policíclicos (PAH) y los compuestos nitratados del PAH que se han identificado como compuestos que potencialmente pueden causar cáncer. Los resultados de la prueba indican que los compuestos PAH fueron reducidos en 75 a 85 por ciento, a excepción del antraceno de benzo (a), que fue reducido en 50 por ciento. http://biodiesel.com.ar/biodiesel-preguntas-frecuentes
También se corre el riesgo  de vertido en los efluentes de algunos de los componentes que la planta va a manejar para producir el biodiésel, como glicerina, metanol, aceites o el propio combustible. En España la legislación prevé que estas plantas estén a no menos de 2 km de distancias de lugares residenciales. Conocido es el caso de la protesta de vecinos en Alicante por la instalación de una Planta de Biodiesel.
http://elpais.com/diario/2006/11/25/cvalenciana/1164485888_850215.html

En el caso del Bioetanol tenemos desechos como la vinaza. La vinaza constituye un sub-producto de procesos de destilación y fermentación, de azúcares obtenidos del agave y de granos en general. Cabe señalar que por cada litro de etanol producido a partir de melazas, se generan 13 litros de vinaza, La vinaza, en general, contiene un gran contenido de materias orgánicas y nutrientes como nitrógeno, azufre y fósforo. También contiene una gran cantidad de potasio. Entre los compuestos orgánicos más importantes, están los alcoholes, ácidos orgánicos y aldehídos. Además, también contiene compuestos fenólicos recalcitrantes, como las melanoidinas. Son ácidas (pH entre 3 y 4).
http://es.wikipedia.org/wiki/Vinaza#Composici.C3.B3n

Hay un caso conocido en Uruguay donde el intendente pidió que la pileta de efluentes sea cerrada y el gas se queme hasta encontrar una utilidad. Está claro que la mayor producción de malos olores viene de la falta de tratamiento de sus efluentes. Empresa Uruguaya De Etanol Galantini logró que ALUR destruyera las piletas de vinaza que producían mal olor (http://www.sintesiscorrientes.com/notix/noticia/14921_galantini_logro_que_alur_destruyera_las_piletas_de_vinaza_que_producian_mal_olor-2.htm)
En las cubas de fermentación la gran producción de CO2 desplaza al O2 por lo tanto son abiertas y bien aireadas! Entonces tenemos la generación de un gas cancerígeno como ocurre en los vehículos y en las chimeneas de las plantas industriales.



viernes, 1 de noviembre de 2013

Curtiembres

En Argentina podemos encontrar dos tipos de curtiembres: una que utiliza “Tanino” (por lo general son curtiembres que despiden olor muy intenso al ambiente y este se percibe a km´s) y otras que utilizan “Cromo” o su nombre comercial “Cromosal BT” (son sales de cromo, con un aroma un poco más atenuado). Pero la diferencia más notoria son los costos de producción, la de taninos demoran días a semanas en sacar un cuero de producción terminado, con curtido de químicos, solo demora horas. Incluso las plantas de curtido vegetal usan ácidos, cal y sales.
Esta es una forma para detectar qué tipo de curtiembres tenemos en la zona.
Hay que tener en cuenta que en los dos casos hay evaporación en la atmósfera y en los efluentes. En el suelo se produce filtración de productos químicos nocivos para la salud humana. Durante todas las etapas de curtido de cueros perjudican: a operarios, poblaciones cercanas y el mismo hábitat.
Si miramos que pasa en las barracas donde ingresan los cueros frescos y salados, podemos decir que esto ya afecta a los operarios que son los encargados de descargar los camiones.
El cuero salado que viene de acopios, tiene varios días, en algunos casos meses con sal. Los cueros frescos, son los que ingresan directamente desde los frigoríficos más cercanos, éstos con desperdicios de sangre. En algunos casos los dueños de estos camiones rocían querosén a las paredes internas del camión para evitar su degradación y oxidación. En las barracas de las curtiembres hay permanentemente 20 cm de espesor en el suelo de sangre y sal (difundiendo olores pestilentes).
Una curtiembre tiene una lista de más de 30 productos químicos, desde ácidos, sales, cromo, cal, pigmentos vegetales para darle color al cuero,  “enduidos” o butadienos, poliuretanos, acetobutiratos, siliconas, etc. Además una curtiembre utiliza miles de litros de agua diarios que son extraídos “generalmente” de un río cercano o de la napa de agua (de cual consumen los operarios). Algunas curtiembres ubicadas en cascos urbanos llegan a tener acceso a la red pública. Quiero resaltar que entran toneladas de productos químicos a una Planta, estos en su mayoría no se “recuperan”, van todos a parar a los efluentes, normalmente un río cercano que es de donde incluso algunas ciudades extraen sus suministros de agua “potable”.
Prácticamente todo el proceso se realiza en Fulones (son contenedores gigantes de forma cilíndrica que giran como tambores de lavarropa) o simplemente piletas en el suelo de forma circular o rectangular (casi ya no se usan).

Tanto las curtiembre que trabajan con cromo o taninos CONTAMINAN. Pero las curtiembres que certificaron ISO 14001 son puramente ecológicas? De ningún modo!
La ISO 14001 brinda estándares y normas que permiten ejecutar una producción más limpia, basada en el cuidado del medio ambiente. Ésta es una norma que se certifica y que muchas compañías buscan, pues es evidente que las hace más competitivas.
Algunos rasgos, cuando hablamos de normas y estándares, estamos hablando sobre una empresa que arma y/o contrata un equipo de trabajo para la confección de normas de calidad, en los que se van a basar sus estándares. Digamos que una empresa se plantea sus “propios” objetivos. Hablando exclusivamente de la contaminación que genera, pueden ser: cumplir con los requisitos municipales de ambiente. Tal vez, cumplir con los requisitos legales de ambiente provincial o nacional. En algún caso muy particular, cumplir con requisitos de calidad de ambiente a nivel internacional.
La empresa o equipo de trabajo que se propone certificar alguna ISO evalúa el costo y los procesos de la empresa para determinar qué objetivos perseguir y esta evaluación o auditoria para certificar puede ser interna o externa. DE NINGÚN MODO ESTO GARANTIZA QUE LA EMPRESA NO CONTAMINA!!!

Tenemos algunos datos:
DQO: Demanda Química Oxígeno.
DBO: Demanda Biológica Oxígeno.
SS: Sólidos en Suspensión.
SD: Sólidos Disueltos.

En la figura Nº1 tenemos un pequeño resumen de estos elementos en el proceso.



Curtido Vegetal



Retomamos a la certificación de ISO14001. En la región la única curtiembre que certificó es Arlei S.A. nos vamos a centrar en un párrafo más con la empresa que llevó adelante la certificación y sus objetivos.

TÜV Rheinland Argentina
Nota: En su página encontramos este material.
La certificación ISO 14001 de TÜV Rheinland le permite:

Correcta preparación y adecuación a los requerimientos y legislaciones.
Reducir emisiones, gastos y aguas residuales.
Reducción de costos medioambientales inmediatos.
Mejorar la imagen y ventajas competitivas.
Minimizar el riesgo de responsabilidad medioambiental.
Sistematizar la protección ambiental.
Ganar una mayor confianza de accionistas e inversores.
Fomentar un comportamiento respetuoso con el medio ambiente entre sus empleados.
Mejorar su imagen a los ojos de los clientes, los socios y el público en general.
Alcanzar sus propios objetivos medioambientales.

Proceso de Certificación (El proceso de auditoría para la obtención del certificado consiste en dos fases in-situ).
Nota: Si bien parece que la empresa cuida más evadir la legislación o dar un impacto de imagen que no tengan dudas que lo hacen, también mejora los costos de la empresa y baja los niveles de contaminación, incluso desarrolla inversiones, pero la contaminación total de igual forma no desaparecen, tengamos en cuenta que la planta tiene procesos que despiden vapores tóxicos igual que las piletas de efluentes a cielo abierto. Sin dudas esos gases en proporciones importantes son cancerígenos.

Productos contaminantes, proporción y consecuencias.
Los ácidos que se usan ácidos clorhídrico o sulfúrico. Luego estos son parcialmente apagados con Cal y enviados a los efluentes.
Ácido Sulfúrico: Este ácido mezclado con agua genera una nube tóxica importante, que ataca directamente las mucosas de los pulmones, afecta la visión, etc…
En el agua y apagado con Cal trae problemas en los peces y el oxígeno del agua (DQO).-
Una década atrás una empresa como Arlei S.A. solo les daba barbijos a los operarios para este tipo de operaciones, cuando en realidad necesitaban trajes adecuados y máscaras de carbones activados para ácidos… Los vapores no deben entrar en contacto con el operario, ni ojos, ni manos, ni nariz. La exposición prolongada al ácido sulfúrico aumenta el riesgo de sufrir cáncer.

Cromo: Hidroxisulfato de cromo (III) Cr(OH) que se oxida en Óxido de cromo (VI) (CrO3). Producto altamente contaminante.
Efectos del cromo en el Hombre Según el informe presentado por Greenpeace, la Agencia Internacional para la Investigación del Cáncer clasifica los compuestos del cromo VI como cancerígenos. También aporta que según el Servicio de Salud Pública de Estados Unidos determina que para los humanos el consumo de agua, pescado y otros alimentos contaminados con Cr (III) podrían aumentar los niveles de absorción diaria mucho más allá de lo recomendado.
La ingesta de niveles superiores a los recomendados durante lapsos prolongados puede provocar efectos perjudiciales para la salud, incluidos irritación gastrointestinal, úlcera estomacal y daños renales y hepáticos.
En el caso de los obreros que se encuentran en contacto permanente con estas sustancias, la exposición dérmica al cromo puede provocar hinchazón y enrojecimiento agudo de la piel; mientras que inhalar niveles altos de cromo puede provocar irritación en las membranas respiratorias y nasales.
Además, según la Agencia de Investigación del Cáncer, dependiente de la Organización Mundial de la Salud, los compuestos del cromo son cancerígenos. (Greenpeace, 1999)
Cuando el cromo precipita en el efluente, los lodos contendrán hidróxido de Cr (III), que es un compuesto insoluble. Sin embargo, la solubilidad de este hidróxido depende del pH y puede re-disolverse, como se mencionó, tanto en medio ácido, como en medio básico, pudiendo causar la contaminación de suelos y cuerpos de agua.
En general, si los lodos contienen sulfuro y/o cromo y éstos no pueden ser removidos, se los debe disponer en un relleno sanitario, con las debidas precauciones.
Esto para evitar una posible lixiviación posterior y, en consecuencia, su incorporación a cuerpos de agua o capas freáticas, contaminándolos.
Sin adentrarnos en los amoniacos y fenoles de los efluentes!!!

Contaminación del aire: La contaminación del aire es dramática, ya que no sólo se genera CO2 sino sustancias tan peligrosas como el Amoníaco o el Sulfuro de Hidrógeno.
La descomposición de la materia orgánica, la emisión de sulfuro de las aguas residuales (especialmente del pelambre), las emisiones de amoníaco y vapores de solventes que provienen del desencalado y de la etapa de acabado, así como las carnazas y grasas del descarne, causan el característico mal olor de una curtiembre. Por ello, la localización de este tipo de industria es motivo de controversias en muchas regiones del país y del mundo.
Las curtiembres también emiten contaminantes del aire como CO, CO2, NOx y SOx mediante el uso de calderas y generadores (Guía Ambiental para la Preparación del Curtido de Pieles. Ministerio de Ambiente, Vivienda y Desarrollo Territorial de Colombia).

Algunos datos: Greenpeace en el año 2000 realizó un muestreo antes de la certificación de Arlei S.A. Una curtiembre que ya llevaba más de una década funcionando en Las Toscas, Santa Fe.
Algunos de los resultados que arrojaron los análisis fueron estos:
Sedimentos descargados en la laguna Arroyo Las Toscas
Cromo 205 mg/kg.
Plomo 9 mg/kg.
Manganeso 122 mg/kg.
Mercurio 0.13 mg/Kg.
(Sobre residuo en seco)
La muestra de residuos líquidos tomada del canal de cemento que desemboca en las lagunas (AM0043) contenía 1607 ug/l de cromo, indicativo de significativas descargas de cromo provenientes del proceso de curtido. Los sedimentos/lodos de la misma laguna (AM0013) contenían 1137 mg/kg de cromo. Informe de contaminación en curtiembre (Las Toscas. Greenpeace año 2000).
A la fecha no tenemos ningún estudio independiente para monitorear el progreso de Arlei S.A.

La situación en Reconquista no es menor, ya que tenemos dos curtiembres descargando sus residuos con menos estándares de calidad que la nombrada anteriormente.

Curtiembre I (En pleno casco urbano de Reconquista)




Con su planta de tratamiento de efluentes:



Curtiembre II (Camino al Puerto de Reconquista)



Lo que más sorprende de Reconquista es lo siguiente:

Todas las industrias de Reconquista y su vecina Avellaneda descargan sus efluentes en el Arroyo El Rey, en muchos casos con “meros” tratamientos. A esto sumamos la Cloaca de Avellaneda y la Cloaca de Reconquista (Que ninguna de las dos ciudades cuentan con Planta de tratamiento).
La cuestión sería en este caso. ¿Qué estándar de calidad se necesita cumplir para no contaminar un Río como el Arroyo el Rey???
Pregunto a la población… ¿Qué estándar de calidad asumiría si ustedes se van a tomar el agua del río donde se vierten los efluentes industriales y cloacales?

Toma de agua de Reconquista, justo en la descarga del Arroyo El Rey.



martes, 29 de octubre de 2013

Errores y polémicas de Einstein- Gödel.

Esta es una pequeña y despreciable síntesis de “errores” o posibles errores de Einstein, lo edite para abordar una discusión de estos días sobre un teorema de Gödel (un gran amigo de Einstein).
Einstein, Un científico reconocido a nivel mundial, ganador de Premio Nobel de Física (1921), Medalla Copley (1925), Medalla Max Planck (1929). En su vida asumió algunos errores, paso a contar algunos:
_Uno de los más importantes fue creer que el universo era estático, asumiendo una “constante cosmológica” creada “ad hoc” por él mismo. Pero en 1923 se descubrió por observaciones de Edwin Hubble de las que incluso tuvo  sus dudas “El Universo se expande con una constante de aceleración”.
_Otro debate que surge es con el Principio de Indeterminación o Incertidumbre de Heisenberg quien decía que no es posible determinar con exactitud el lugar y la posición de un electrón (sin explicarlo a rigor claro). El hecho es que Einstein decía que debía haber alguna manera de predecir la posición de esta partícula, pero sus argumentos no arribaban a ningún resultado factible. Hay una diferencia entra la física newtoniana y la mecánica cuántica poco aceptada por Einstein a pesar de haber colaborado para su desarrollo. Por entonces utilizaba una frase muy particular “Dios no juega a los dados” entendiendo que debería haber alguna regla…  
Solo con herramientas de Probabilidad se puede tener una noción de su ubicación y es así como surge con el tiempo la Ecuación de Onda de Schrödinger (Un logro matemático insuperable hasta nuestros días).
_En su vejez Einstein estuvo cerca de un amigo, este era Gödel, un matemático en la lógica y la teoría de conjunto. Su trabajo estaba destinado a probar la existencia de Dios con un argumento ontológico, digamos solo usando la lógica y la razón. En el pasado muchos importantes pensadores lo intentaron.
Pero Gödel no da a conocer el trabajo realizado hasta cerca de su muerte, tal vez por miedo a ser malinterpretado. Aclaro que murió con un tremendo desorden de personalidad, pero tuvo una vida muy productiva para la ciencia y sobre todo las matemáticas. No dejemos de lado a su amigo y compañero de proyectos, Einstein y su firme creencia en Dios.
Por estos días surge una falsa polémica por la demostración informática de la existencia de Dios por el ‘teorema’ de Gödel.
Los investigadores Christoph Benzmüller de la Universidad Libre de Berlín (Alemania) y Bruno Woltzenlogel de la Universidad Técnica de Viena (Austria) que publicaron en agosto en el repositorio científico (Arxiv) un artículo donde prueban el argumento ontológico sobre la existencia de Dios del matemático Kurt Gödel.
“El artículo no pretende haber demostrado la existencia de Dios ni nada parecido”, aclara a (SINC) Joan Bagaria, profesor de Lógica y Filosofía de la Ciencia en la Universidad de Barcelona. “Consiste en una formalización y verificación del argumento ontológico dado por Gödel, y la gracia del asunto es que esto se ha conseguido usando sistemas computacionales”.



Adjunto:
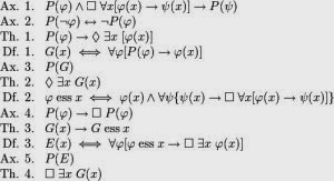
Este es el teorema (conocido como argumento ontológico) sobre la existencia de Dios.



Definiciones:
1) Un ente es de naturaleza divina ["God-like"] si y solamente si tiene tales propiedades esenciales, todas las propiedades positivas y solamente propiedades positivas.
2) A es una esencia de x si y solamente si por cada propiedad B, x incluye B necesariamente y exclusivamente si A implica B.
3) x existe necesariamente si y solamente si cada elemento suyo esencial resulta necesariamente existente.

Axiomas:
1) Si una propiedad es positiva, entonces su negación no es positiva.
2) Cada propiedad que incluye una propiedad positiva es a su vez positiva.
3) Ser un ente de naturaleza divina es una propiedad positiva.
4) Si una propiedad es positiva, entonces necesariamente es positiva.
5) La existencia necesaria es una propiedad positiva.

Teoremas:
1) Una propiedad positiva es lógicamente consistente [por lo tanto es posible que exista].
2) Si una cosa es un ente de naturaleza divina, entonces la propiedad de la existencia es una esencia de esta cosa [o sea que le pertenece por esencia].
3) Necesariamente existe algo que es un ente de naturaleza divina, o bien existe al menos una x tal que x es G.

Demostraciones:
Primera demostración:
a. Si G es un ente de naturaleza divina, entonces [con base en la definición 1] posee todas las propiedades positivas y solamente propiedades positivas.
b. Pero G es un ente de naturaleza divina.
c. Entonces, G posee todas las propiedades positivas y solamente propiedades positivas.
Segunda demostración:
a. Si G es un ente de naturaleza divina, entonces [respecto al axioma 3] es una propiedad positiva.
b. Pero G es un ente de naturaleza divina.
c. Entonces, G es una propiedad positiva.
Tercera demostración:
a. Si G es una propiedad positiva, entonces [respecto al axioma 4] necesariamente es una propiedad positiva.
b. Pero G es una propiedad positiva [conclusión de la segunda demostración].
c. Entonces, G necesariamente es una propiedad positiva.
Cuarta demostración:
a. Si G posee todas las propiedades positivas, entonces [respecto al axioma 5] también posee la existencia necesaria en cuanto es una propiedad positiva.
b. G posee todas las propiedades positivas [conclusión de la primera demostración].
c. Entonces, G también posee la existencia necesaria.
Quinta demostración:
a. Si G es un ente de naturaleza divina, entonces [con base en el teorema 2] la propiedad de la existencia le pertenece por esencia.
b. Pero G es un ente de naturaleza divina.
c. Entonces, a G pertenece por esencia la propiedad de la existencia.
Sexta demostración:
a. Si G es una propiedad positiva, entonces [según el teorema 1] es lógicamente consistente.
b. Pero G es una propiedad positiva [conclusión de la segunda demostración].
c. Entonces, G es lógicamente consistente [o sea es posible].
Séptima demostración:
a. Si G es consistente, entonces necesariamente existe [con base en la conclusión de la quinta demostración, la propiedad positiva de la existencia le pertenece en efecto por esencia].
b. Pero G es consistente [conclusión de la sexta demostración].
c. Entonces, G necesariamente existe.

Como se puede notar fácilmente, la premisa mayor de la séptima demostración gödeliana es completamente parecida a aquella leibniziana: "Si Dios es posible [consistente], entonces existe necesariamente". De hecho, la existencia de G (Dios) resulta o necesaria o imposible, ya que con base en el "Teorema 2" y en la "Quinta demostración" se trata de un ser único en su género a quien la existencia pertenece por esencia. También con base en la "Definición 3", por lo demás, un ente divino necesariamente existe si cada elemento esencial suyo necesariamente resulta existente: y éste es precisamente el caso de Dios.