Translate

sábado, 27 de octubre de 2018

ARTE, MÚSICA Y AMIGOS!!!




Mix de fotos: Intervención Artística, ISFD en Arte N° 5074 “General Manuel Belgrano”, MMRA Julio Pagano.
Muestra de arte de Alberto Pucheta más acústico de Lucía Lencina, Julián Braida y Emiliano Cataneo en El Remanso espacio cultural independiente.
Cerrando la Semana de las Artes. A pleno!!!











































miércoles, 24 de octubre de 2018

EN UN HIPOTÉTICO COSMOS MÁS PARECIDO AL NUESTRO



Introduction: this work is far from finished. I have to publish it because I do not want the Argentine National Intelligence System to disable the computer where I am writing it as it does with all the devices and tools that I use to work. In a country that in democracy, politicians live a dictatorship.

The article is about an alternative cosmology theory to the Big Bang.

Introducción: este trabajo está lejos de estar terminado. Lo tengo que publicar porque no quiero que el Sistema de Inteligencia Nacional Argentino inutilice la computadora donde lo estoy escribiendo como hace con todos los dispositivos y herramientas que utilizo para trabajar. En un país que en democracia, los políticos viven una dictadura.
El articulo se trata de una teoría cosmología alternativa al Big Bang.

Con cada error y con cada acierto hemos enriquecido el camino a la comprensión del Universo.
No soy el primero que usa leyes de la física para encontrar analogías entre los Agujeros Negros y nuestro Universo. Espero no ser el último…
Las condiciones que dieron vida a nuestro universo son como verán bastante especiales. Luego de la formación con materia finita, nuestro universo tuvo que seguir devorando energía para expandirse y poder dar nacimiento a las galaxias, a las estrellas y a los planetas. ¡Por ende, a nosotros!
Esfera de Potencial Gravitatorio (EPG).
Hipótesis: La esfera EPG desgarra el espacio-tiempo moviendo la cuadricula espacio-temporal a velocidades lumínicas en el Horizonte de Sucesos. Esto se produce en un Radio “aproximado” de Schwarzschild. Ya que hay autores que esgrimen que en movimiento relativistas un cuerpo no mantiene la esfericidad. [1]

I° LEY
EL EPG TIENE UNA CANTIDAD DE MATERIA FINITA DENTRO DE SU FRONTERA. PERO UNA ENERGÍA VARIABLE. 

(El EPG nace con una cantidad de materia finita, la que mantiene en toda su existencia. Por otro lado, aclaro: Si tomamos cualquier libro de Química General en la parte termodinámica vamos a poder leer que es un sistema cerrado es aquel que no intercambia materia con el entorno, pero absorbe energía. [2]
Esto no tiene nada que ver con un Universo modelo Lambda-CDM al que yo modifiqué para expresarlo sin materia oscura. Claro que solo es útil en la etapa del universo más actual. Hay que determinar el momento primigenio cuanta influencia en la temperatura tuvo el momento angular de la frontera sobre el sistema.
Con lo que respecta al modelo Lambda-CDM asumo un “q” negativo y “k=0”. Universo acelerándose y casi plano). [3]



II° LEY

EN EL EPG TODOS LOS CUERPOS TIENEN MOMENTO ANGULAR IMPRIMIDO POR LA FRONTERA DEL EPG.

(Cuando nace el EPG tiene una interacción con la materia que hay dentro. Los sistemas que evolucionaron dentro del EPG heredaron ese movimiento).

III° LEY

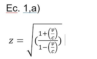
HAY UN HORIZONTE DE SUCESOS QUE PUEDE SER DESCRIPTO POR SU ENERGÍA EQUIVALENTE (E=MC^2). DONDE LA RELATIVIDAD GENERAL Y LA RELATIVIDAD ESPECIAL COLAPSAN.

(Es natural que una teoría o una ley tenga rangos de aplicación. La Relatividad General no puede describir la trayectoria de un electrón en el núcleo de un átomo, ese es el terreno de la Mecánica Cuántica. La Mecánica Cuántica no puede describir eventos cosmológicos donde hay velocidades próximas a la de la luz.
En el Horizonte de Sucesos de un Agujero Negro la métrica de Karl Schwarzschild genera infinitos en el Radio de Schwarzschild, de la misma forma las transformaciones de Lorenz no están hechas para describir sistemas lumínicos porque el cociente de v/c genera infinitos, o genera modelos asintóticos cuando comparamos el redshift altos con el cociente de v/c).






   
z= redshift; v= velocidad; c= velocidad de la luz en el vacío.-
IV° LEY
EL SISTEMA ESTÁ DOMINADO POR LA ENERGÍA OSCURA. ES UN EFECTO EXTERNO DE ENERGÍA ASIMILADO POR LA FRONTERA DEL EPG. LA ENERGÍA ES SOLO ASIMILADA POR LA SUPERFICIE.
(La energía que disipa la frontera del EPG determina la constante de expansión H (constante de Hubble). No importa en la proporción que aparece en el modelo lambda CDM para materia bariónica, sino la cantidad y el ritmo en el tiempo).  

V° LEY
LA FORMACIÓN DEL EPG ESTÁ CONDICIONADA POR TRES FACTORES:
MASA CRÍTICA.
DENSIDAD CRÍTICA.
PREDOMINIO DE NEUTRONES.

Lo que podemos agregar que, en un sistema binario, con uno de los componentes identificados como estrella de neutrones, puede absorber masa del objeto astronómico que lo acompaña y convertirse en un Agujero Negro. [4]

Corolarios/consecuencias:
La densidad del EPG disminuye con el tiempo.
Los parámetros de densidad se expresan solo con materia bariónica.
(Significa que es una restricción del sistema en estudio para disminuir el error. El parámetro de materia bariónica no toma la materia que hay en los Agujeros Negros que se considera despreciable a pesar de que se encuentran en la mayoría de los centros galácticos. Pero considero un error menor que el de tomar “Materia Oscura” para analizar el sistema).
La densidad del EPG en un tiempo inicial es baja y disminuye aún más con el tiempo, porque se toma como inicio del sistema el Radio de Schwarzschild.
Relación de Energía Oscura (energía que absorbió la frontera para expandirse) en proporción a el Delta Superficie en el transcurso del tiempo a la actualidad (tomando la frontera como distancia actual comóvil).
Relación entre la masa equivalente absorbida por la frontera del EPG y el incremento de superficie desde el Radio de Schwarzschild hasta la superficie que generaría una distancia comóvil determinada.


Ec. 2,a)




E: es la energía equivalente. m: masa equivalente; c: velocidad de la luz en el vacío; S: superficie; r: radio.-
De acuerdo con la termodinámica el sistema tiene una frontera definida ya que el EPG tiene una temperatura constante en todos los puntos del sistema.
No ingresa materia al sistema, la misma es devorada por la frontera para expandirse.
A diferencia de la Teoría más usual (Big Bang) que no puede explicar de dónde surge la materia o la distribución isotrópica y homogénea del sistema (ya que es clave la temperatura del sistema, en un sistema sin frontera y con una “explosión” inicial por ley cero de la termodinámica sabemos que no puede existir esa relación.
De igual forma cuando dicen en la teoría del Big Bang que la “explosión hipotética” usan el término, pero no quiere decir eso porque solo se expandió el espacio “tampoco explican cómo pudo pasar eso”. O podemos decir que a mí no me convence). Por otro lado, si vemos una explosión de GRB esta se apaga de forma decreciente, toda emisión de radiación en el universo genera un pico y un decrecimiento de la emisión…
Contradicción con el modelo del Big Bang. Debemos interpretar como un sistema que no está en equilibrio térmico por la frontera? Si hubiera equilibrio térmico entonces fuera de nuestro sistema la temperatura es de 2,7 °K y hay un espacio isotrópico con la misma configuración que el nuestro. Algo que no tiene sentido (O sea, se inició algo donde ya había un universo). Por ende, nuestro sistema NO está en equilibrio termodinámico con el exterior a nuestra frontera. Si, alcanzó el equilibrio térmico dentro de la frontera, ya que para donde miremos encontramos la misma temperatura. 
Un EPG si lo puede explicar esa isotropía con las respectivas restricciones.
Por otro lado, se descartó la Materia Oscura ya que si afecta a las galaxias en espiral como la nuestra y el 50 % de esa materia estaría fuera del bulbo central. O sea, nuestro sistema solar debería estar afectado, algo que no sucede. Para algunos autores tenemos una gran oportunidad para encontrar materia oscura en nuestra galaxia, pero la vedad es que no aparece. [5]
 En cambio, como las galaxias tienen una vida superior a la de nuestro sistema solar la velocidad radial estaría explicada con la hipótesis de frontera definida que es más concluyente.
También se pueden investigar la influencia que tuvo la frontera sobre el movimiento angular de la materia al principio, al poco tiempo que la frontera se retiró y el sistema comenzó a descender de temperatura y formar galaxias. La gravedad se hizo notar como la “fuerza” hasta nuestros días que domina el universo.
La teoría del Big Bang no explica como desde una mega partícula todo el Universo nace, ni el nacimiento o creación de materia oscura.
Aclaración: todas las unidades son del Sistema Internacional de Medidas (MKS).

Cuadro I 


Cuadro II





Para describir el universo necesitamos varios modelos. No contamos con esa precisión requerida ya que un universo que tiene una frontera que se mueve a velocidades lumínicas no se concibe en la Relatividad General. 
En este modelo la frontera convierte a la materia en energía para expandirse sin dejar penetrar al sistema más materia-energía. 
Los primeros instantes del Universo están sometidos a una fuerza centrifuga que le da mucha energía y temperatura al condensado de partículas que se encuentran dentro. No hay una formulación adecuada para describir con precisión este fenómeno, pero si podemos aproximar con algún margen de error. 
Nota: En un condensado de materia con radio de Schwarzschild hay en teoría una densidad baja estimada, es una propiedad de los grandes Agujeros Negros Super Masivos. [6]
Además, se desprende que ese “condensado” o “zopa primigenia” luego de la etapa de plasma, se convierte en un gas incomprensible ya que la distribución de ésta se mantuvo homogénea. Algo que también colabora con esta tesitura es la expansión acelerada del sistema antes de la formación de galaxias. Luego entre los modelos de formación de galaxia es difícil encontrar uno que tome en cuenta el momento angular intrínseco de la materia en el espacio.



Cuadro III





Cuadro IV







Cuadro V








Cuadro VI




Cuadro VII





Si tomamos en cuenta un timeline del universo donde el mismo nace en un Radio de Schwarzschild, con una densidad baja, pero con una fuerza centrifuga que le da una energía y temperatura a determinar. Esos parámetros imprimidos a una nube de plasma. Para una partícula que se mueve en un plasma podemos usar la fórmula.


Ec. 3,a)



Donde la masa de un electrón o de un neutrón (para un universo primigenio) puede alcanzar a velocidades relativistas, altas temperaturas, pero no tan extraordinarias como el modelo de Big Bang.


En el universo primigenio tenemos una N cantidad de partículas (todos neutrones por al menos nos segundos). Salvando las interacciones podemos calcular la cantidad de años que le lleva una partícula pegarse a la otra. La distancia determinada me dice que la única fuerza que actúa es la gravedad. Hasta que se produce el contacto y empieza actuar la fuerza fuerte. Esto es solo un promedio asumiendo una nube que actúa como un fluido incomprensible. Luego de que se une un par de partículas, se van a unir dos pares de partículas, cuatro pares de partículas y así se puede modelar un proceso más complejo. Siempre tomando en cuenta que va a ser acelerado el proceso de unión y la fuerza predominante es la de la gravedad entre las partículas. 

Cuadro VIII



Hay un tiempo crítico en el modelo, desde la formación de la Esfera de Potencial Gravitatorio hasta su enfriamiento y la posterior formación de galaxias. También a determinar.

Entropía de la frontera de un Agujero Negro. [7]

Ec 4;a) 





S: la entropía del sistema; T: es la temperatura del sistema; M: masa; c: velocidad de la luz en el vacío.-
Sin embargo, Hawking no tuvo en cuenta la posibilidad de que la cuadricula espacio-temporal fuera la que se moviera a velocidades lumínicas, de esa forma, ni los fotones podrían escapar. Hawking solo tomó la gravedad equivalente sobre su superficie.
Digamos que Hawking mide la temperatura, pero no asume una causa probada de la radiación, solo se apoya en otras hipótesis sobre la creación de otro tipo de partículas con carga.
En síntesis, este modelo bastante ambicioso explica el origen del momento angular de todos los objetos en el espacio. Descarta la existencia de materia oscura y el inicio del universo desde una singularidad. De suponer que el universo fue creado solo de materia, esta cantidad de materia se mantiene casi constante en el tiempo...
No descarto la posibilidad de que se hubiera creado un universo de antimateria junto al nuestro…


Imagen I






Como sabemos los campos (magnéticos y eléctricos) se intensifican en una esfera con carga en rotación en su superficie (en el caso de que un Agujero Negro cuente con materia en forma de disco de acrecimiento se puede aplicar el caso).
Lo que hay que determinar es cuánto de la altísima temperatura del Horizonte de Sucesos puede pasar dentro de su frontera. Asumimos que no pasa materia, pero no sé si podemos asumir que la frontera no imprime radiación al sistema…  
Tomando en cuenta un Agujero Negro devorando materia y con densidad dada en el Universo primigenio. Sabemos cuales son las fuerzas que actúan, lo que no sabemos es como se comporta una nube de plasma en esas condiciones (por ejemplo: la nube de plasma de baja densidad se debería comportar como un líquido incomprensible, temperaturas altas, en la medida que se fue expandiendo la frontera se fue enfriando y perdiendo la fuerza de arrastre de la frontera… Tomando en cuenta que la temperatura surge de la velocidad de rotación de la frontera del EPG).
En mi aproximación no tomo en cuenta la radiación de Hawking como ya dije. Voy a citar un ejemplo. Todos sabemos que la segunda ley de la termodinámica me dice que no hay ningún mecanismo en la naturaleza que sea cien por ciento eficiente. Eso es verdad y no lo podemos corregir. La frontera del EPG no es la diferencia. Simplemente pienso que si tiro materia a un Agujero Negro no la voy a poder recuperar.
¿Cuál es el mecanismo que utiliza un Agujero Negro para devorar materia? Y esa respuesta es el disco de acreción, el “mecanismo” que tiene un Agujero Negro para devorar materia es el sistema más ineficiente del universo. Ya que, aproximadamente el 90% de la materia que se aproxima al Horizonte de Sucesos por el disco de acrecimiento termina expulsado en el jet del Agujero Negro. Los mecanismos energéticos son los que pierden energía. No así el Agujero Negro…
La leña que consume el fuego de una locomotora se convierte en vapor, pero esa energía no va todo al movimiento de las ruedas porque el “mecanismo” del tren disipa energía por las paredes de la caldera… Así actúa la segunda ley de la termodinámica…
La cuestión principal es modelar lo mejor posible las condiciones del universo primigenio. Si eso se logra, podemos compara en el futuro con Agujeros Negros que están absorbiendo energía de un sistema.
Se puede tomar como una “inocente apuesta” para las futuras generaciones… Mi hipótesis es que una vez formado un Agujero Negro la materia que devora va solo a la superficie, la superficie va a tener un mayor crecimiento (como el desplazamiento de una onda de choque en el espacio) que aquel Agujero Negro que tiene que llenar un volumen con la materia que devora. Esa tesitura confirma o refuta todo mi trabajo… Pero cuidado, porque si comparamos solo la gravedad del sistema esta se verá como cualquier otro objeto, con las mismas reglas gravitatorias. Ya que la materia que devora la frontera es “materia equivalente” (  para el Agujero Negro ).
Si la energía de la frontera de un Agujero Negro fuera baja como la determina Hawking, ahora mismo estaría pensando en un condensado de materia como el de Bose-Einstein para explicar la trampa de partículas que genera el Horizonte de Sucesos. Pero mi percepción es todo lo contrario. Estimo que la temperatura de Horizonte de Sucesos es elevada.
Considero este trabajo un juego mental interesante para seguir profundizando en las características de los Agujeros Negros. Espero que aporte nuevas ideas. Tal vez los herederos de Isaac Asimov vean que si las analogías de un Agujero Negro y nuestro universo son ciertas. Los Agujeros Negros son replicas de ADN de nuestro Universo reservorio.
Lo que si tengo en claro luego de este análisis es reafirmar más que la Teoría del Big Bang no concuerda con nuestro universo. Tampoco veo pruebas sustentables sobre la existencia de materia oscura. Además, no sabemos cómo se crea, en que partículas se descompone, cuál es su tiempo de vida medio, el universo es isotrópico, pero la materia oscura no lo es… Por el momento no me dice nada… 
Pero tengo que expresar mi más sincero respeto y admiración a esas personas que lograron convertir a un rebelde como yo en un apasionado de la ciencia, ya que formularon teorías y leyes que despiertan inquietud en mí todos los días de mi vida.

Parte de las bibliografías usadas:
[1] Dinamica rotacional relativista. Rotational relativistic dynamics. M. L. Peñafiel & V. M. Peñafiel. Instituto de Investigaciones Físicas, Carrera de Física. Universidad Mayor de San Andres c. 27 Cota-Cota, Campus Universitario, Casilla de Correos 8635. La Paz - Bolivia (Recibido 24 de Agosto de 2014; aceptado 20 de Abril de 2015) [http://www.scielo.org.bo/scielo.php?script=sci_arttext&pid=S1562-38232015000100001]
[2] Temas de Química General. Versión Ampliada. M. Angelini; E. Baumgartner; C. Benítez; M. Bulwik; R. Crubellati; L. Landau; L. Lastres Flores; M. Pouchan; R. Servant; M. Sileo. Editorial Eudeba.-
[3] Edad del universo y la densidad de energía de la radiación/Antonina Calahorrano/Departamento de Física, Colegio de Ciencias e Ingeniería, Universidad San Francisco de Quito. Autor principal/Corresponding author, e-mail: cmarin@usfq.edu.ec
[4] The formation of stellar black holes. Félix Mirabel (a,b). a) Institute of Astronomy and Space Physics, CONICET-Universidad de Buenos Aires, Ciudad Universitaria, 1428 Buenos Aires, Argentina. b) Laboratoire AIM-Paris-Saclay, CEA/DSM/Irfu−CNRS, CEA-Saclay, pt courrier 131, 91191 Gif-sur-Yvette, France. [New Astronomy Reviews
journal homepage: www.elsevier.com/locate/newastrev]
[5] Galaxy masses. Stéphane Courteau, Michele Cappellari, Roelof S. de Jong, Aaron A. Dutton, Eric Emsellem, Henk Hoekstra, L. V. E. Koopmans, Gary A. Mamon, Claudia Maraston, Tommaso Treu, and Lawrence M. Widrow. Rev. Mod. Phys. 86, 47 (2014) - Published 14 January 2014.
[6] Astrophysical evidence for the existence of black Holes. A Celotti, J C Miller and D W Sciama SISSA, Via Beirut 2-4, 34013 Trieste, Italy.
[7] Journal of Modern Physics. Vol.4 No.3(2013), Article ID:28571,6 pages DOI:10.4236/jmp.2013.43043. Entropy Change of Non-Spinning Black Holes. w.r.t. the Radius of Event Horizon in AGN.

bis) El fondo de radiación cósmico: Lectura Obligatoria: Barbara Ryden (Capítulo 9)/Lecturas útiles para entender el origen de las fluctuaciones de temperatura:The physics of microwave background anisotropies por Wayne Hu/The physics of microwave background anisotropies (nivel más avanzado) por Wayne Hu/Capítulo 17 del Libro "Cosmology" de Coles & Lucchin/Max Tegmark (astro-ph/9511148)/Wayne Hu & Scott Dodelson (Annual Rev. A&A, 2002, 40, 171)/ mhamuy@das.uchile.cl
REVIEW OF PARTICLE PHYSICS* Particle DataGroup/citado en: Edad del universo y la densidad de energía de la radiación.

INTRODUCTION TO PLASMA PHYSICS Robert J Goldston and Paul H Rutherford Plasma Physics Laboratory Princeton University


Adjunto versión traducida al ingles:

Gravitational Potential Sphere (EPG)


The article is about an alternative cosmology theory to the Big Bang.
I am not the first to use laws of physics to find analogies between Black Holes and our Universe. I hope not to be the last ...
The conditions that gave life to our universe are as they will see quite special. After the formation with finite matter, our universe had to continue devouring energy to expand and be able to give birth to galaxies, stars and planets. Therefore, to us!
Gravitational Potential Sphere (EPG).
Hypothesis: The EPG sphere tears space-time by moving the space-time grid to light speeds in the Event Horizon. This occurs in an "approximate" Radio of Schwarzschild. Since there are authors who wield that in relativistic movement a body does not maintain the sphericity. [1]


I ° LAW
THE EPG HAS A NUMBER OF FINITE MATTER INSIDE ITS BORDER. BUT A VARIABLE ENERGY.

(The EPG is born with a quantity of finite matter, which is maintained throughout its existence.) On the other hand, I clarify: If we take any book of General Chemistry in the thermodynamic part we will be able to read that it is a closed system is one that does not exchange matter with the environment, but absorbs energy. [2]
This has nothing to do with a Lambda-CDM model universe that I modified to express it without dark matter. Of course it is only useful in the stage of the most current universe. The primeval moment must be determined how much influence on the temperature the angular momentum of the boundary had on the system.
With respect to the Lambda-CDM model I assume a negative "q" and "k = 0". Universe accelerating and almost flat). [3]

II ° LAW

IN THE EPG ALL THE BODIES HAVE AN ANGULAR MOMENT PRINTED BY THE BORDER OF THE EPG.

(When the EPG is born, it has an interaction with the matter that is in. The systems that evolved within the EPG inherited that movement).


III ° LAW

THERE IS A HORIZON OF EVENTS THAT CAN BE DESCRIBED BY THEIR EQUIVALENT ENERGY (E = MC ^ 2). WHERE GENERAL RELATIVITY AND SPECIAL RELATIVITY COLLAPSE.
Note: but there may be another interpretation and it is the simple tearing of space time, we have a "hot ball" that by thermodynamic effect of a hot surface increases its surface to dissipate energy ... The tear was produced by the critical mass.

(It is natural for a theory or a law to have ranges of application.) General Relativity can not describe the trajectory of an electron in the nucleus of an atom, that is the terrain of Quantum Mechanics, Quantum Mechanics can not describe cosmological events where there are speeds close to that of light.
In the Horizon of Events of a Black Hole the metric of Karl Schwarzschild generates infinity in the Radius of Schwarzschild, in the same way the Lorenz transformations are not made to describe light systems because the quotient of v / c generates infinites, or generates models asymptotic when we compare the high redshift with the quotient of v / c).




z = redshift; v = speed; c = speed of light in vacuum.-
IV ° LAW
THE SYSTEM IS DOMINATED BY DARK ENERGY. IT IS AN EXTERNAL EFFECT OF ENERGY ASSIMILATED BY THE BORDER OF THE EPG. ENERGY IS ONLY ASSIMILATED BY THE SURFACE.
(The energy that dissipates the EPG boundary determines the H expansion constant (Hubble constant.) It does not matter in the proportion that appears in the CDM lambda model for baryonic matter, but the quantity and rhythm in time).


V ° LAW
THE FORMATION OF THE EPG IS CONDITIONED BY THREE FACTORS:
CRITICAL MASS.
CRITICAL DENSITY.
PREDOMINIO OF NEUTRONES.

What we can add that, in a binary system, with one of the components identified as a neutron star, can absorb mass of the astronomical object that accompanies it and become a Black Hole. [4]

Corollaries / consequences:
The density of the EPG decreases with time.
The density parameters are expressed only with baryonic matter.
(It means that it is a restriction of the system under study to reduce the error.) The parameter of baryonic matter does not take the matter that exists in the Black Holes that is considered negligible even though they are found in most of the galactic centers. a minor error than taking "Dark Matter" to analyze the system).
The density of the EPG in an initial time is low and decreases even more with time, because in this model the Schwarzschild Radio is taken as the start of the system.
According to the projections the redshift (z) at the beginning this value was higher than the current one.
Dark Energy Ratio (energy that absorbed the boundary to expand) in proportion to the Delta Surface in the course of time to the present (taking the boundary as current distance).
Relationship between the equivalent mass absorbed by the EPG boundary and the surface increase from the Schwarzschild radius to the surface that would generate a determined moving distance.

Ec. 2, a)




E: is the equivalent energy. m: equivalent mass; c: speed of light in a vacuum; S: surface; r: radio.-
According to thermodynamics, the system has a defined boundary since the EPG has a constant temperature in all points of the system.
Do not enter matter into the system, it is devoured by the border to expand.
Unlike the most usual theory (Big Bang) that can not explain where the matter or the isotropic and homogeneous distribution of the system arises (since the system temperature is key, in a system without border and with an initial "explosion") by zero law of thermodynamics we know that this relationship can not exist.
On the other hand, if we see an explosion of GRB it shuts down in a decreasing way, any emission of radiation in the universe generates a peak and a decrease of the emission ...
We must interpret it as a system that is not in thermal equilibrium along the border. If there was thermal equilibrium then outside our system the temperature is 2.7 ° K and there is an isotropic space with the same configuration as ours. Something that has no meaning (That is, something started where there was already a universe). Therefore, our system is NOT in thermodynamic equilibrium.
Note: in this model we basically expand because we are not in thermodynamic equilibrium.
An EPG if you can explain its isotropy with the respective restrictions.
On the other hand, the Dark Matter was ruled out since if it affects the spiral galaxies like ours and 50% of that matter would be outside the central bulb. That is, our solar system should be affected, something that does not happen. For some authors we have a great opportunity to find dark matter in our galaxy, but the truth is that it does not appear. [5]

On the other hand, since galaxies have a life superior to that of our solar system, radial velocity would be explained with the definite boundary hypothesis that is more conclusive.
You can also investigate the influence that the border had on the angular movement of matter at the beginning, shortly after the boundary was removed and the system began to descend temperature and form galaxies. Gravity was noted as the "force" until our days that dominates the universe.


The Big Bang theory does not explain how the whole Universe is born from a mega particle, nor the birth or creation of dark matter.
Clarification: all units are from the International Measurement System (MKS).

Table I,




Table II




To describe the universe we need several models. We do not have that precision required since a universe that has a border that moves at light speeds is not conceived in General Relativity. In this model, the frontier converts matter into energy to expand without letting the system penetrate more matter. By simple withdrawal of the border to the outside and intrinsic pressure of the system are filling the spaces of the expanding system.
The first instants of the Universe are subjected to a centrifugal force that gives a lot of energy and temperature to the condensate of particles that are inside. There is no adequate formulation to accurately describe this phenomenon, but we can approximate it with some margin of error. In a condensate of matter with Schwarzschild radius there is in theory an estimated low density, it is a property of the large Black Holes. [6]
In addition, it is clear that this "condensate" or "zopa primigenia" was like an incomprehensible gas since the distribution of it remained homogeneous. Something that also collaborates with this situation is the accelerated expansion of the system before the formation of galaxies. Then among the galaxy formation models it is difficult to find one that takes into account the intrinsic angular momentum of matter in space.
Table III


Table IV





Table V


Table VI


Table VII



If we take into account a timeline of the universe where it is born in a Schwarzschild Radio, with a low density, but with a centrifugal force that gives it an energy and temperature to be determined. Those parameters printed to a plasma cloud. For a particle that moves in a plasma we can use the formula.

Ec. 3, a)



Where the mass of a neutron (for a primeval universe) can reach at relativistic speeds, high temperatures, but not as extraordinary as the Big Bang model.


In the early universe we have an N number of particles (all neutrons for at least a few seconds). By saving the interactions, we can calculate the number of years a particle takes to stick to the other. The determined distance tells me that the only force acting is gravity. Until contact occurs and strong force begins to act. This is just an average assuming a cloud that acts as an incomprehensible fluid. After a couple of particles are joined, two pairs of particles, four pairs of particles are going to be joined together and a more complex process can be modeled. Always taking into account that the binding process will be accelerated and the predominant force is that of gravity between the particles.

Table VIII



There is a critical time in the model, from the formation of the Gravitational Potential Sphere to its cooling and the subsequent formation of galaxies. Also to determine.
Entropy of the border of a Black Hole. [7]

In short, this rather ambitious model explains the origin of the angular momentum of all objects in space. Discards the existence of dark matter and discards the beginning of the universe from a singularity. To suppose that the universe was created only of matter, this amount of matter remains almost constant in time ...
I do not rule out the possibility that a universe of antimatter was created next to ours ...

As we know the fields (magnetic and electric) are intensified in a sphere with a load in rotation on its surface (in the case that a Black Hole has material in the form of an accretion disk, the case can be applied).
What you have to determine is how much of the very high temperature of the Event Horizon can happen within your border.
Taking into account a Black Hole devouring matter and with density given in the original Universe.
We know what are the forces acting, what we do not know is how a plasma cloud behaves in these conditions we can assume plasma in the immediate vicinity of the EPG border, but not inside the EPG where the density of the material is so low
Taking into account that the temperature arises from the speed of rotation of the EPG border).
We all know that the second law of thermodynamics tells me that there is no mechanism in nature that is 100 percent efficient. That is true and we can not correct it. The EPG border is not the difference. I just think that if I throw stuff into a Black Hole, I will not be able to recover it.
What is the mechanism that uses a Black Hole to devour matter? And that answer is the accretion disk, the "mechanism" that has a Black Hole to devour matter is the most inefficient system in the universe. Since, approximately 90% of the matter that approaches the Event Horizon by the accretion disk ends up being ejected in the jet of the Black Hole. The energy mechanisms are those that lose energy. Not so the Black Hole …

The main issue is to model the conditions of the original universe as best as possible. If that is achieved, we can compare in the future with super massive Black Holes that are absorbing energy from a system.
What I am clear about after this analysis is to reaffirm more that the Big Bang Theory does not agree with our universe. Nor do I see any sustainable evidence about the existence of dark matter. Also, we do not know how it is created, in what particles it decomposes, what is its average life time, the universe is isotropic, but dark matter is not ... At the moment it does not tell me anything ...
What this model shows is that the creation of our universe can be explained in a simple way with the basic rules of creating a Black Hole. And they are not precisely the rules of the Big Bang Theory.